正则化线性模型
Ridge Regression (岭回归,又名 Tikhonov regularization)
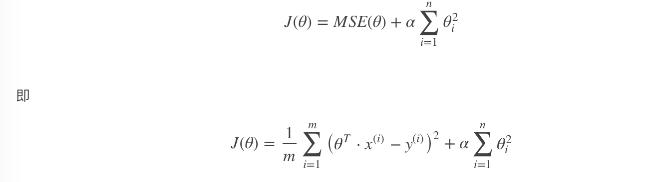
岭回归是线性回归的正则化版本,即在原来的线性回归的 cost function 中添加正则项(regularization term):

以达到在拟合数据的同时,使模型权重尽可能小的目的,岭回归代价函数:

α=0:岭回归退化为线性回归
Lasso Regression(Lasso 回归)
Lasso 回归是线性回归的另一种正则化版本,正则项为权值向量的 ℓ1 范数。
Lasso 回归的代价函数 :

Lasso Regression 有一个很重要的性质是:倾向于完全消除不重要的权重。
例如:当 α 取值相对较大时,高阶多项式退化为二次甚至是线性:高阶多项式特征的权重被置为 0。
也就是说,Lasso Regression 能够自动进行特征选择,并输出一个稀疏模型(只有少数特征的权重是非零的)。
Elastic Net (弹性网络)
弹性网络在岭回归和 Lasso 回归中进行了折中,通过 混合比(mix ratio) r 进行控制:
r=0:弹性网络变为岭回归 r=1:弹性网络便为 Lasso 回归 弹性网络的代价函数 :

总结
一般来说,我们应避免使用朴素线性回归,而应对模型进行一定的正则化处理。
- 常用:岭回归
- 假设只有少部分特征是有用的:
- 弹性网络
- Lasso
- 一般来说,弹性网络的使用更为广泛。因为在特征维度高于训练样数,或者特征是强相关的情况下,Lasso 回归的表现不太稳定。
API
python
from sklearn.linear_model import Ridge, ElasticNet, Lasso